The Method of Overlapping Distributions

One interesting feature of the Widom method is that the only trial move is insertion; however, the free-energy difference between an $ N$-particle system and an $ N+1$-particle system should not depend on which direction the trial moves take. If we imagine a “Widom real-particle removal” method, we'd write the chemical potential as

$\displaystyle \mu$ $\displaystyle = +k_BT\ln\left(Q_N/Q_{N+1}\right) = \mu_{\rm id} + k_BT\ln\langle\exp\left(+\beta\Delta\mathscr{U}\right)\rangle$ (327)

Sampling $ \langle\exp\left(+\beta\Delta\mathscr{U}\right)\rangle$ in a straightforward NVT MC simulation won't work, however, because...

There is, however, a right way to use bidirectional energy changes to compute free-energy differences, termed the “overlapping distribution method” and attributed to Bennett [44]. Consider two systems 0 and 1, obeying potentials $ \mathscr{U}_0$ and $ \mathscr {U}_1$, respectively. Let $ q_i$ be the scaled configurational integral of the Boltzmann factor:

$\displaystyle q_i = \int d{{\boldsymbol s}^N} e^{-\beta\mathscr{U}_i}$ (328)

We can then express the free energy difference between these systems as (assuming for simplicity they have the same volumes):

$\displaystyle \beta\Delta F = -\ln\frac{q_1}{q_0}$ (329)

Consider next we run an NVT MC simulation on $ \mathscr {U}_1$ and sample $ \Delta\mathscr{U}\equiv\mathscr{U}_1-\mathscr{U}_0$. Formally, the probability density of $ \Delta\mathscr{U}$ from this simulation is

$\displaystyle p_1(\Delta\mathscr{U})$ $\displaystyle = \frac{\displaystyle \int d{{\boldsymbol s}^N} e^{-\beta\mathscr{U}_1}\delta(\mathscr{U}_1-\mathscr{U}_0-\Delta\mathscr{U})}{q_1}$ (330)
  $\displaystyle = \frac{\displaystyle \int d{{\boldsymbol s}^N} e^{-\beta(\mathsc...
...+\Delta\mathscr{U})}\delta(\mathscr{U}_1-\mathscr{U}_0-\Delta\mathscr{U})}{q_1}$ (331)
  $\displaystyle = \frac{q_0}{q_1}e^{-\beta\Delta\mathscr{U}}\frac{1}{q_0}\int d{\...
...}^Ne^{-\beta\mathscr{U}_0}\delta(\mathscr{U}_1-\mathscr{U}_0-\Delta\mathscr{U})$ (332)
  $\displaystyle = \frac{q_0}{q_1}e^{-\beta\Delta\mathscr{U}}p_0(\Delta\mathscr{U})$ (333)

In going from Eq. 329 to 330 we have used the fact that the Dirac delta function will only permit one value of $ \Delta\mathscr{U}$ to survive integration. Taking the log of both sides gives

$\displaystyle \ln p_1(\Delta\mathscr{U})$ $\displaystyle = -\ln\frac{q_1}{q_0} - \beta\Delta\mathscr{U} + \ln p_0(\Delta\mathscr{U})$ (334)
  $\displaystyle = \beta(\Delta F - \Delta\mathscr{U}) + \ln p_0(\Delta\mathscr{U})$ (335)

This equation provides a way to estimate $ \Delta F$ at any one value of $ \Delta\mathscr{U}$ so long as good estimates of both $ p_1(\Delta\mathscr{U})$ and $ p_0(\Delta\mathscr{U})$ are available. That means we must be able to sample a sufficiently large domain of $ \Delta\mathscr{U}$ from both a simulation run on $ \mathscr {U}_1$ and another run on $ \mathscr{U}_0$. That is, there must be a domain of $ \Delta\mathscr{U}$ where $ p_1$ and $ p_0$ overlap.

Bennett[44] suggests the following transformation of $ p_1$ and $ p_0$ to permit easy calculation of $ \Delta F$. Letting

$\displaystyle f_0(\Delta\mathscr{U})$ $\displaystyle \equiv \ln p_0(\Delta\mathscr{U}) - \frac{\beta\Delta\mathscr{U}}{2}, $   and (336)
$\displaystyle f_1(\Delta\mathscr{U})$ $\displaystyle \equiv \ln p_1(\Delta\mathscr{U}) + \frac{\beta\Delta\mathscr{U}}{2}$ (337)

gives

$\displaystyle \beta\Delta F = f_1(\Delta\mathscr{U})-f_0(\Delta\mathscr{U}).$ (338)

This means we can measure $ f_1$ and $ f_0$ in separate simulations, and then observe a constant offset between them to be $ \beta\Delta F$.

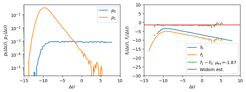
Suppose we now take the example of system 1 with $ N$ real particles and system 0 with $ N-1$ real particles and one ideal-gas particle. The free-energy change from 0 to 1 is the excess chemical potential (yet again!). Fig. 41 illustrates using Bennett's method to compute $ \mu _{\rm ex}$ of the Lennard-Jones fluid at $ T$ = 1.2 for a few different densities. For each density, two simulations were run: simulation-0 computes the distribution of $ \Delta\mathscr{U}$, the energy associated with converting the ideal-gas particle to a real particle, while simulation-1 computes the same distribution for converting a randomly chosen particle from being an ideal-gas particle to being a real particle. This latter $ \Delta\mathscr{U}$ is easily computed using the single-particle energy function e_i. It is important to note that the direction of the $ \Delta$ is from ideal-gas to real for both simulations. Note too that since we sample $ \Delta{\mathscr{U}}$ for particle insertion in simulation-0, we can just as easily compute the expectation $ \langle\exp(-\beta\Delta\mathscr{U})\rangle$ and thereby get a direct estimate of $ \beta \mu _{\rm ex}$.

At the moderately low density of $ \rho $ = 0.7, we see a clear constant offset $ \beta \mu _{\rm ex}$ between $ f_0$ and $ f_1$. Note clear agreement between the offset over a finite-size domain of $ \mathscr\Delta{U}$ and the single-point Widom estimate. For the somewhat higher density of 0.9, the offset is a bit noisier, reflecting somewhat poorer sampling. For the highest density, the sampling in simulation-0 is so poor that it is nearly impossible to detect an overlap domain.

Figure 41: $ p_0$ and $ p_1$ vs $ \Delta\mathscr{U}$ (left), and $ f_0$, $ f_1$, $ f_1$ - $ f_0$ vs $ \Delta\mathscr{U}$ (right) computed using NVT MC simulations at $ T$ = 1.2 of system-0 and system-1, for densities of 0.7 (top), 0.9 (middle), and 1.0 (bottom). Estimates of $ \beta \mu _{\rm ex}$ from Widom test-particle insertion are shown as red horizontal lines in the plots on the right.
Image mclj-od-T1.2-rho0.7 Image mclj-od-T1.2-rho0.9 Image mclj-od-T1.2-rho1.0

cfa22@drexel.edu